Longifolene
Longifolene is the common (or trivial) chemical name of a naturally occurring, oily liquid hydrocarbon found primarily in the high-boiling fraction of certain pine resins. The name is derived from that of a pine species from which the compound was isolated,[1] Pinus longifolia (obsolete name for Pinus roxburghii Sarg.)[2]
![]() | |
| Names | |
|---|---|
| IUPAC name
(1R,2S,7S,9S)- 3,3,7-trimethyl- 8-methylenetricyclo- [5.4.0.02,9]undecane | |
| Identifiers | |
| |
3D model (JSmol) |
|
| 5731712 2044263 4663756 | |
| ChEBI |
|
| ChemSpider | |
| ECHA InfoCard | 100.006.812 |
| EC Number |
|
PubChem CID |
|
| UNII |
|
CompTox Dashboard (EPA) |
|
| |
| |
| Properties | |
| C15H24 | |
| Molar mass | 204.36 g/mol |
| Density | 0.928 g/cm3 |
| Boiling point | 254 °C (489 °F; 527 K) (706 mm Hg) |
| Hazards | |
| GHS pictograms | ![]() ![]() ![]() |
| GHS Signal word | Danger |
| H304, H317, H400, H410 | |
| P261, P272, P273, P280, P301+310, P302+352, P321, P331, P333+313, P363, P391, P405, P501 | |
Except where otherwise noted, data are given for materials in their standard state (at 25 °C [77 °F], 100 kPa). | |
| Infobox references | |
Chemically, longifolene is a tricyclic sesquiterpene. This molecule is chiral, and the enantiomer commonly found in pines and other higher plants exhibits a positive optical rotation of +42.73°. The other enantiomer (optical rotation −42.73°) is found in small amounts in certain fungi and liverworts.
Longifolene is used in organic synthesis for the preparation of dilongifolylborane,[3] a chiral hydroborating agent.
Longifolene is also one of two most abundant aroma constituents of lapsang souchong tea, because the tea is smoked over pinewood fires.[4]
Total syntheses
Due to the compact tricyclic structure and lack of functional groups, Longifolene is an attractive target for research groups highlighting new synthetic methodologies. Notable syntheses are by Corey,[5][6] McMurry,[7] Johnson,[8] Oppolzer,[9] and Schultz.[10] Fallis has published a stereoselective synthesis of (+)-longifolene using an intramolecular Diels-Alder strategy.[11]
![]() Longifolene total synthesis by Corey.svg |
| Longifolene total synthesis by Corey.svg |
|---|
The Johnson biosynthesis has since been validated as feasible using modern quantum mechanical computational methods. The subsequent cationic cascade mechanism has been shown to go through a non-classical cation intermediate.[12]
Biosynthesis
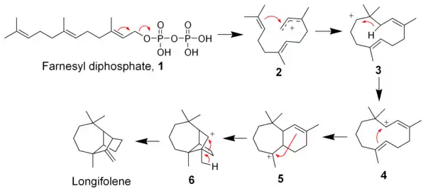
The biosynthesis of longifolene begins with farnesyl diphosphate (1) (also called farnesyl pyrophosphate) by means of a cationic polycyclization cascade. Loss of the pyrophosphate group and cyclization by the distal alkene gives intermediate 3, which by means of a 1,3-hydride shift gives intermediate 4. After two additional cyclizations, intermediate 6 produces longifolene by a 1,2-alkyl migration.

Use
The borane derivative dilongifolylborane is used in organic synthesis as a chiral hydroborating agent.[13]
References
- Naffa, P.; Ourisson, G. Bulletin de la Société chimique de France, 1954, 1410.
- Simonsen, J. L. J. Chem. Soc. 1920, 117, 570.
- Jadhav, P. K.; Brown, H. C. J. Org. Chem. 1981, 46, 2988.
- Shan-Shan Yao; Wen-Fei Guo; YI Lu; Yuan-Xun Jiang, "Flavor Characteristics of Lapsang Souchong and Smoked Lapsang Souchong,a Special Chinese Black Tea with Pine Smoking Process", Journal of Agricultural and Food Chemistry, Vol. 53, No.22, (2005)
- Corey, E. J.; Ohno, Masaji.; Mitra, Rajat B.; Vatakencherry, Paul A. (February 1964). "Total Synthesis of Longifolene". Journal of the American Chemical Society. 86 (3): 478–485. doi:10.1021/ja01057a039.
- Corey, E. J.; Ohno, Masaji; Vatakencherry, Paul A.; Mitra, Rajat B. (March 1961). "TOTAL SYNTHESIS OF d,l-LONGIFOLENE". Journal of the American Chemical Society. 83 (5): 1251–1253. doi:10.1021/ja01466a056.
- McMurry, John E.; Isser, Stephen J. (October 1972). "Total synthesis of longifolene". Journal of the American Chemical Society. 94 (20): 7132–7137. doi:10.1021/ja00775a044.
- Volkmann, Robert A.; Andrews, Glenn C.; Johnson, William S. (August 1975). "Novel synthesis of longifolene". Journal of the American Chemical Society. 97 (16): 4777–4779. doi:10.1021/ja00849a062.
- Oppolzer, Wolfgang; Godel, Thierry (April 1978). "A new and efficient total synthesis of (.+-.)-longifolene". Journal of the American Chemical Society. 100 (8): 2583–2584. doi:10.1021/ja00476a071.
- Schultz, Arthur G.; Puig, Salvador (March 1985). "The intramolecular diene-carbene cycloaddition equivalence and an enantioselective Birch reduction-alkylation by the chiral auxiliary approach. Total synthesis of (.+-.)- and (−)-longifolene". The Journal of Organic Chemistry. 50 (6): 915–916. doi:10.1021/jo00206a049.
- Bo, Lei; Fallis, Alex G. (May 1990). "Direct total synthesis of (+)-longifolene via an intramolecular Diels-Alder strategy". Journal of the American Chemical Society. 112 (11): 4609–4610. doi:10.1021/ja00167a105.
- Ho, Gregory J. Org. Chem. 2005, 70, 5139 -5143.
- Dev, Sukh (1981). "Aspects of longifolene chemistry. An example of another facet of natural products chemistry". Accounts of Chemical Research. 14 (3): 82–88. doi:10.1021/ar00063a004.




