Lehmstedt–Tanasescu reaction
The Lehmstedt–Tanasescu reaction is a method in organic chemistry for the organic synthesis of acridone derivatives (3) from a 2-nitrobenzaldehyde (1) and an arene compound (2):[1][2][3][4][5]

The reaction is named after two chemists who devoted part of their careers to research into this synthetic method, the German chemist Kurt Lehmstedt and the Romanian chemist Ion Tănăsescu. Variations to the reaction name are the Lehmsted–Tănăsescu reaction, Lehmsted–Tănăsescu acridone synthesis and Lehmsted–Tanasescu acridone synthesis.
Reaction mechanism
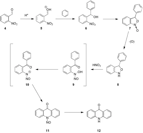
In the first step of the reaction mechanism the precursor molecule 2-nitrobenzaldehyde 4 is protonated, often by sulfuric acid, to intermediate 5, followed by an electrophilic attack to benzene (other arenes can be used as well). The resulting benzhydrol 6 cyclisizes to 7 and finally to compound 8. Treatment of this intermediate with nitrous acid (sodium nitrite en sulfuric acid) leads to the N-nitroso acridone 11 via intermediates 9 en 10. The N-nitroso group is removed by an acid in the final step. The procedure is an example of a one-pot synthesis.

References
- S Yoshida. Design, Synthesis and Characterization of Novel Heterocyclic Polymers (Thesis, McGill University, Montreal (Canada))
- Ion Tănăsescu Bull Soc Chim Fr 41 (1927) p. 528
- Kurt Lehmstedt Chem. Ber. 65 (1932) doi:10.1002/cber.19320650531 834
- Kurt Lehmstedt DE581328 (patent)
- I Silberg. Rev Roum Chim 10 (1965) 1035