Inosine triphosphate
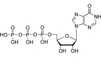
Inosine triphosphate (ITP) is an intermediate in the purine metabolism pathway, seen in the synthesis of ATP and GTP. It comprises an inosine nucleotide containing three phosphate groups esterified to the sugar moiety.
![]() | |
| Names | |
|---|---|
| IUPAC name
(((2R,3S,4R,5R)-3,4-Dihydroxy-5-(6-oxo-3H-purin-9-yl)oxolan-2-yl)methoxy-hydroxyphosphoryl) phosphono hydrogen phosphate | |
| Other names
iniosine triphosphate | |
| Identifiers | |
3D model (JSmol) |
|
| ECHA InfoCard | 100.004.589 |
PubChem CID |
|
CompTox Dashboard (EPA) |
|
| |
| |
| Properties | |
| C10H15N4O14P3 | |
| Molar mass | 508.165 g·mol−1 |
| 903.5 mg/mL | |
Except where otherwise noted, data are given for materials in their standard state (at 25 °C [77 °F], 100 kPa). | |
| Infobox references | |
This article is issued from Wikipedia. The text is licensed under Creative Commons - Attribution - Sharealike. Additional terms may apply for the media files.
